 |
| |
|
| |
|
起重電機之永磁電機的振動噪聲 |
發布時間:2022-07-16 13:24:00 點擊: |
| |
|
| |
起重電機專業生產廠家無錫宏達2022年7月16日訊 電機中的定子電磁噪聲主要受兩方面的因素影響,電磁激振力和相應激振力引起的結構響應及聲輻射,以下對引起噪聲的定子電磁力的解析表達及相應的振動和聲輻射的研究情況進行綜述。
英國謝菲爾德大學的Z.Q.Zhu教授等運用解析法對永磁電機定子電磁力及其噪聲進行研究,對永磁無刷電機電磁力進行理論研究,對10 極 9 槽的永磁無刷直流電機的振動噪聲進行研究,理論上研究了電磁力與定子齒寬間的關系,同時分析了轉矩脈動與振動噪聲優化結果間的關系。沈陽工業大學的唐任遠教授、宋志環提供了完整的解析方法研究永磁電機內的電磁力及其諧波,為進一步的永磁電機噪聲理論研究提供了理論支持。圍繞正弦波和變頻器供電的永磁同步電機進行電磁振動噪聲源的分析,對氣隙磁場、法向電磁力和振動噪聲的特征頻率進行研究,產生轉矩脈動的原因進行分析,其次運用有限元對轉矩脈動進行仿真并加以實驗驗證,同時分析了不同槽極配合情況下的轉矩脈動,以及氣隙長度、極弧系數、削角、槽口寬度等對轉矩脈動的影響。電磁徑向力和切向力的模型,并進行了相應的模態仿真,對電磁力和振動噪聲響應進行了頻域分析和聲輻射模型的分析,并進行了相應的仿真和實驗研究,其指出永磁電機定子主要模態如圖所示。
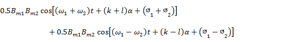
電機中主磁通大致上沿徑向進入氣隙,并在定子和轉子上產生徑向力,從而引起電磁振動和噪聲。同時,它產生切向力矩和軸向力,引起切向振動和軸向振動。在很多場合,如電機不對稱或單相電機中,所產生的切向振動很大,容易引起與電機相連的部件共振,產生輻射噪聲。為了計算電磁噪聲,并分析和控制這些噪聲,必須知道他們的來源,即產生振動和噪聲的力波。為此,通過氣隙磁場的分析,進行電磁力波的分析。假設定子所產生的磁通密度波為 ,轉子產生的磁通密度波為 ,則它們在氣隙中合成磁通密度波可表示如下:
定、轉子開槽、繞組分布、輸入電流波形畸變、氣隙磁導波動、轉子偏心、相同不平衡等因素均會導致機械變形進而引發振動。磁動勢的空間諧波、時間諧波、槽諧波、偏心諧波以及磁飽和等均會產生力和轉矩的高次諧波。尤其是交流電機中的徑向力波,它會同時作用于電機的定子和轉子上并產生磁路畸變。定子——機座和轉子——外殼結構是電機噪聲的主要輻射源。如果徑向力接近或等于定子——基座系統的固有頻率,則將產生共振,這會導致電機定子系統的形變并產生振動和聲學噪聲。在大多數情況下,由低頻2f、高階 的徑向力所引起的磁致伸縮噪聲可忽略不計(f為電機的基波頻率,p是電機極對數)。但是,磁致伸縮引起的徑向力可以達到氣隙磁場引起的徑向力的50%左右。對于由逆變器驅動的電機,由于其定子繞組的電流中存在高次時間諧波,而時間諧波會產生附加的脈動轉矩,這些附加轉矩通常要比空間諧波產生的脈動轉矩大。此外,整流單元產生的電壓紋波也會通過中間電路傳遞至逆變器,產生另一種脈動轉矩。就永磁同步電機的電磁噪聲而言,麥克斯韋力和磁致伸縮力是造成電機振動和產生噪聲的主要因素。
電機的電磁噪聲除了與氣隙磁場產生的電磁力波頻率、階數和幅值有關之外,還與電機的結構固有模態有關。電磁噪聲主要由電機定子及殼體的振動產生。因此,提前通過理論公式或仿真預估定子的固有頻率,并將電磁力頻率和定子固有頻率錯開,是減小電磁噪聲的有效手段。當電機徑向力波頻率與定子的某階固有頻率相等或相近時,就會引起共振。此時,即使徑向力波的幅值不大,也會導致定子較大的振動,進而產生較大的電磁噪聲。對電機噪聲而言,最重要的是研究以徑向振動為主、軸向階數為零,空間振型六階以下的固有模態,如圖所示。
定子振動形式
在分析電機振動特性時,由于阻尼對電機定子的模態振型和頻率影響有限,可不予考慮。結構阻尼是通過應用高能量耗散機理去降低共振頻率附近的振動級,如圖所示,只在共振頻率或接近共振頻率時需考慮。
阻尼的影響
定子添加繞組后,鐵芯槽內的繞組表面經過清漆處理,絕緣紙、清漆和銅線互相附著,而且槽內的絕緣紙與鐵芯的齒也緊貼在一起。因此,槽內繞組對于鐵芯具有一定的剛度貢獻,不能單純地作為附加質量處理。在采用有限元法進行分析時,有必要根據齒槽內繞組的材料求出表征各類機械性能的參數。工藝實施時應盡量保證浸漆的質量和提高線圈繞線的張力、提高繞組與鐵芯配合的緊密程度,增大電機結構的剛度,提高固有頻率從而避免共振,減小振動幅值,降低電磁噪聲。定子壓入殼體后的固有頻率與單定子鐵芯有一定的差異,殼體能明顯提高定子結構的固頻,尤其是低階固頻,但殼體本身會產生一些局部模態,使共振的轉速工作點增多,增大了電機設計時避免共振的難度。電機設計時應盡量減小殼體結構的復雜程度,并可通過適當提高殼體厚度等措施來提高電機結構的固有頻率,避免共振的發生。另外,在采用有限元預估時合理設置定子鐵芯與殼體的接觸關系是非常重要的。
磁密作為電機電磁設計的重要指標,通常能反應電機的工作狀態。因此我們首先提取和查看磁密值,第一是為了驗證仿真的準確性,第二是為了后續電磁力的提取提供一個依據。提取電機磁密云圖如下圖所示。
從云圖上可以看出,隔磁橋位置磁密遠高于定轉子鐵芯BH曲線的拐點,能夠起到比較好的隔磁效果。
提取電機氣隙及齒部位置的磁密,繪制曲線,可以看出電機氣隙磁密和齒部磁密的具體數值。齒部磁密距離材料拐點有一定距離,推測是設計時考慮電機高轉速的時候鐵耗過高所致。
基于電機結構模型和網格,定義材料,定子鐵芯定義為結構鋼,機殼定義為鋁材料,對電機整體進行模態分析。得到電機整體模態如下圖所示。
電機的諧響應分析,得到各個轉速下振動加速度的結果如下圖所示。
|
| |
| 上一篇:起重電機之夏日炎炎,電機也怕“中暑”
|
| |
|
| |
|
| |
|
|
| |
|
|
| |
|
|
|
|
|
|
|
|
|
|
|
|
|
|
|
| |